晶体管的微变等效电路
得到了的h参数后,就可以画出晶体管的线性等效,图Z0214是晶体管的h参数等效电路。
关于h参数等效电路,应注意以下几点:
(1)的参考极性为上正下负,的参考正方向是流入为正;
(2)电路中出现了受控源。受控源的大小和极性均具有从属性。在分析电路时,可以象独立源一样进行等效变换,但控制量不能丢失,在涉及独立源取零值的处理中,不能对受控源进行开路或短路处理,只能视控制量而定。
(3)微变等效电路只适用于低频小信号放大电路,只能用来计算交流分量,不能计算总的瞬时值和静态工作点。
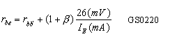
(4)晶体管的输入 RbE(hie)一般可用下列近似公式进行估算:

式中 表示晶体管基区的体,对一般小功率管约为300Ω左右(计算时,若未给出,可取为300Ω),IE 为通过管于发射极的静态电流,单位是mA。在IE ≤5mA范围内,式GS0220计算结果与实际测量值基本一致。

关于h参数等效电路,应注意以下几点:
(1)的参考极性为上正下负,的参考正方向是流入为正;
(2)电路中出现了受控源。受控源的大小和极性均具有从属性。在分析电路时,可以象独立源一样进行等效变换,但控制量不能丢失,在涉及独立源取零值的处理中,不能对受控源进行开路或短路处理,只能视控制量而定。
(3)微变等效电路只适用于低频小信号放大电路,只能用来计算交流分量,不能计算总的瞬时值和静态工作点。
(4)晶体管的输入 RbE(hie)一般可用下列近似公式进行估算:

式中 表示晶体管基区的体,对一般小功率管约为300Ω左右(计算时,若未给出,可取为300Ω),IE 为通过管于发射极的静态电流,单位是mA。在IE ≤5mA范围内,式GS0220计算结果与实际测量值基本一致。
- 上一篇:晶体管的h参数
- 下一篇:用微变等效电路法分析放大电路