漏电保护器接地不当导致保护灵敏降低的原因分析
单相漏电保护器(也称零序保护器)安装示意图见附图。N"为穿越漏电保护器磁环后的零线.L”为穿越漏电保护器磁环后的相线。当相线L对地无漏电时.流过穿越保护器磁环的L、N导线的电流LL大小相等、方向相反,磁环的磁芯内无,副绕组P、Q间无输出,漏电保护器Sl1保持接通状态。
图中,重复接地点的位置“1”是正确的,接地位置“2”是错误的。设备1外壳接零保护点在位置“F”点是正确的.接在位置“2”是错误的。
1.重复接地在位置“1”时(位置2不接地).若相线L发生漏电时各路电流为:
一路经穿越磁环的L线.从人体与L的接触点到位置“3”经大地到“l”为Ijd31;另外一路也经穿越磁环的L线从人体与L的接触点到位置“3”经大地到“0”(的中性点的接地点)。这两路为经大地的漏电流Ijd=Ijd31+Ijd30。人体接地电流不会流经磁环内的N线,因此,穿越磁环的L导线的电流比穿越磁环的N导线的电流要大(Ijd31+Ijd30),即L"与N"的电流差为(Ijd31+Ijd30),此电流差为磁环的激磁电流,故副绕组PQ端有故障信号输出,切断S1。
2.重复接地在位置“2”时(位置“I”未接地),若人体误触相线L".L对地发生漏电.则各路电流为:
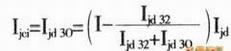
一路经穿越磁环的导线L从人体与L的接触点到位置“3”经大地到“0”为Ijd30,显然Ijd30。不流经穿越磁环的导线N,L线与N线的电流差Ijd30即为磁芯内的激磁电流ljci,它在P、Q端产生故障信号电压。
另外一路经穿越磁环的相线L再从人体与相线的接触点到位置“3”经大地到接地位置“2”,返回到N导线,穿越磁环回到“0”点称Ijd32,该Ijd32。抵消了L中的Ijd32,故此漏电流不产生故障信号电压,使漏电保护器的灵敏度降低。漏电流中用于磁环激磁的电流(即产生故障信号电压的电流)Ijci为:
式中Rjd32为重复接地点的接地,Rjd30为变压器中性点的接地。此时,当重复接地体接地约等于中性点接地电阻时,保护器的动作电流约要增加到正常值的2倍,导致漏电保护器的动作灵敏度降低。选位置“2”做重复接地点的做法是错误的。基于同样的原理.三相漏电保护器也要注意这个问题。
3.设备外壳E的接地保护线必须连接在F点,如果错误地连接在点“2”(即连接在N"上),参照式2,当设备1内的相线“碰壳”时.L中电流从上往下穿过磁环,经设备l外壳、到位置“2”.再从下往上穿过磁环、S1回到N.磁环激磁电流“代数和”仍然为0.保护器不会自动切断。
因此,国家劳动部曾经颁发《漏电保护器安全监察规定》的通知的第二十七条规定:安装漏电保护器后,不能撤掉或降低对线路、设备的接地或接零保护要求及措施。安装时应注意区分线路的工作零线和保护零线。工作零线应接人漏电保护器,并应穿过漏电保护器的零序电流器。经过漏电保护器的工作零线不得作为保护零线,不得重复接地或接设备的外壳。线路的保护零线不得接入漏电保护器。
注1:所谓“工作零线”,即谈导线直接与的零线连接,负载电流(正常工作电流)通过该导线。PE线也有人称之为零线.但PE线上正常情况下没有电流通过。
注2:《漏电保护器安全监察规定》中“不得接设备的外壳”是指“穿过漏电保护器的谊工作零线”不得接设备外壳。但设备外壳必须接PE线(TN-S系统.PE线不能穿过磁环中心).或必须接至保护器进线端更靠近电源端TN-C系统中的零线N(即图中的连接线EF.EF线不能穿过磁环中心)。
