学海荡舟手机网
导航

主页 > 电子设备技术 > 电器电路基础 > > 详细内容

电源变压器的电压调整率

 调整率反映了的一种外特性,它表示为

  其中,UK2次级空载电压;U2次级有载时的电压。  

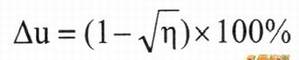
  变压器的电压调整率与η有关,故也可表示为:


相关文章