差分放大电路单端输入信号的射极耦合传输及等效变换
摘 要:用 分析的方法对差分放大电路单端输入信号的射极耦合传输及等效变换进行了深入研究,目的是探索单端输入差分放大电路中输入信号的作用过程。羞分放大电路的单端输入信号,经差分管的发射极耦合传输,在输入回路可等效变换为差模输入信号、共模输入信号的叠加,且等效变换时与发射极 Re取值大小无关,Re取值大小反映了对其模输入信号的抑制程度。所述方法的创新点是给出了单端输入信号在输入回路作用下的物理过程,完善了单端输入信号的等效变换方法。
0引言
图1所示为典型长尾式单端输入差分放大电路,利用电路分析的方法将单端输人 信号线 等效变换成差模输入信号、共模输入信号的叠加,可深入理解输入信号线经发射极耦合传输、等效变换的过程。
以下分析,假设电路中对称元件的参数相同。

图1 长尾式单端输入差分放大电路
1 单端输入信号发射极耦合传输及分解
图1所示电路,输人信号线经ui经T1的发射极耦合传输到T2的发射极,输人回路的微变等效电路如图2所示。其中: rbc为 的输人;β为晶体管的放大系数。

图2 单端输入差分放大电路输入回路的微变等效电路
在图2中所设定的ui参考极性下,输人回路所产生的各处电流、是ib1为T1的基极电流,ie1为 T1的发射极电流,
;ib2为T2 的基极电流;ie2为T2的发射极电流,
;ie为发射极Re中的电流;ue为发射极电位。
由图2及KCL有:

变换式(1)有:

由图2及式(2),输入信号ui可表示为:

变换式(3):

由图2及式(2),式(4),发射极电位ue可表示为:

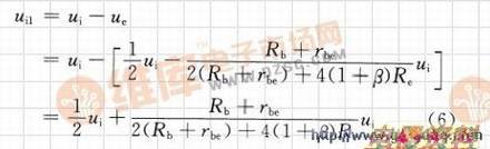
由图1及图2,ui作用下所产生的左边输入端和发射极之间的电极为:

由图1及图2,ui作用下所产生的右边输入端和发射极之间的电压为:

式(6)、式(7)中,
为作用于输入端和发射极之间的每边差模输入信号;
为作用于输入端和发射极之间每边的共模输入信号即总的共模输入信号,表达式中含发射极电阻Re ;反映了Re对共模输入信号的抑制作用,发射极电阻Re越大,共模负反馈抑制作用越强,共模输人信号越小。
式(6)、式(7)表明,输入信号ui在输入回路可等效分解为差模输入信号、共模输入信号的叠加,如图3所示。

图3 ui等效分解为差模输入信号、共模输入信号叠加
图4,图5为输入信号ui分解后差模输入单独作用等效电路及共模输入单独作用的等效电路。

图4 ui分解后的差模输入单独作用等效电路

图5 ui分解后的共模输入单独作用等效电路
2 信号的等效变换
在保持输入端和发射极之间的差模输入信号不变,既保持输入端所产生的差模输入电流不变的前提下,可将图4中每边的差模输人信号
等效变换作用于输人端和地之间,发射极经电阻Re接地,如图6昕示。

图6 接Re的差模输入等效电路
在保持所产生的共模输人咆流不变的条件下,可将图5中每边的共模输入信号等效变换后作用于输入端和地之问、共模输人信号等效变换成数值为ui/2,发射极经电阻Re接地,如图7所示。

图7 接Re的共模输入等效电路
3 结论
差分放大电路的单端输入信号,经差分管的发射极耦合传输,可等效为差模输入信号、共模输入信号的叠加,且等效变换时,与发射极电阻Re取值大小无关。
发射极电阻Re抑制共模输入信号,取值大小反映对共模输人信号的抑制程度;发射极电阻 Re对差模输入信号无影晌。
- 上一篇:与门电路介绍
- 下一篇:如何延长电视发射管使用寿命