差动放大电路的改进
由式GS0512可知,要想提高差动放大的共模抑制比,就要增大共模负馈Re,但增大Re会使其直流压降增大,
要保持合适的静态工作点,EE就要增大很多,这显然是不经济的。
恒流源电路具有输出很高而直流压降较小的特点,若用恒流源电路代替图Z0502电路中的Re,就可在EE不高的情况下,获得很高的共模抑制比。图Z0506(a)就是一个带有恒流源的差动放大电路,图(b)是它的简化表示。
图中,T3是恒流管,R1、R2、D是它的偏置元件,Re是负反馈,用以提高恒流源电路的输出电阻。由于偏置电路一定,IB3就随之确定,IC3=βIB3,也就确定(T3管工作在放大区)当UCE3变化时,由于IC3几乎不变,则等效交流电阻
将很高而保证T3工作在放大区所需的UCE3 并不高,一般只要UCE3 ≥1V即可。
对恒流源差动放大电路进行静态分析时,应从恒流源电路着手,先确定出IC3,进而可确定出IC1=IC2=IC3/2及 UC1=UC2=EC - IC1RC(对地)等。关于差模放大倍数、共模放大倍数及共模抑制比的计算方法同前面介绍的方法一样,
仅是用恒流源的输出电阻替代了Re。
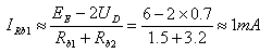
例题0502 图Z0507是某的输入级原理电路。已知三极管的β均为100,三极管的UBE和的压降UD均为0.7V,Rc= 7.75kΩ,RL =11.2kΩ,Rb1 = 1.5kΩ,Rb2 = 3.2kΩ,Re = 2.2kΩ,EC = EE = 6V
(1)估算静态工作点Q;(2)估算差模放大倍数;(3)估算差模输入电阻rid和差模输出电阻ro 。
解:(1)若忽略T3管的基极,则流过Rb1 的电流为:

流过T3管发射极的电流为

自此可得:
(2)双端输出时的差模放大倍数为:
式中,
所以双端输出时的差模放大倍数 Aud = - 58.9
(3)差模输入电阻和输出电阻分别为:
rid= 2rbe = 2×5.6 = 11.2kΩ ro = 2RC = 2×7.75 = 15.5 kΩ
在实际应用中,差动放大电路还有单端输入-双端输出及单端输入-单端输出等连接方式,其原理可参阅有关资料自行分析。
要保持合适的静态工作点,EE就要增大很多,这显然是不经济的。恒流源电路具有输出很高而直流压降较小的特点,若用恒流源电路代替图Z0502电路中的Re,就可在EE不高的情况下,获得很高的共模抑制比。图Z0506(a)就是一个带有恒流源的差动放大电路,图(b)是它的简化表示。
图中,T3是恒流管,R1、R2、D是它的偏置元件,Re是负反馈,用以提高恒流源电路的输出电阻。由于偏置电路一定,IB3就随之确定,IC3=βIB3,也就确定(T3管工作在放大区)当UCE3变化时,由于IC3几乎不变,则等效交流电阻
对恒流源差动放大电路进行静态分析时,应从恒流源电路着手,先确定出IC3,进而可确定出IC1=IC2=IC3/2及 UC1=UC2=EC - IC1RC(对地)等。关于差模放大倍数、共模放大倍数及共模抑制比的计算方法同前面介绍的方法一样,
仅是用恒流源的输出电阻替代了Re。例题0502 图Z0507是某的输入级原理电路。已知三极管的β均为100,三极管的UBE和的压降UD均为0.7V,Rc= 7.75kΩ,RL =11.2kΩ,Rb1 = 1.5kΩ,Rb2 = 3.2kΩ,Re = 2.2kΩ,EC = EE = 6V
(1)估算静态工作点Q;(2)估算差模放大倍数;(3)估算差模输入电阻rid和差模输出电阻ro 。
解:(1)若忽略T3管的基极,则流过Rb1 的电流为:
流过T3管发射极的电流为
自此可得:
(2)双端输出时的差模放大倍数为:
式中,
(3)差模输入电阻和输出电阻分别为:
rid= 2rbe = 2×5.6 = 11.2kΩ ro = 2RC = 2×7.75 = 15.5 kΩ
在实际应用中,差动放大电路还有单端输入-双端输出及单端输入-单端输出等连接方式,其原理可参阅有关资料自行分析。
- 上一篇:基本差动放大电路的动态分析
- 下一篇:集成电路的特点