学海荡舟手机网
导航

主页 > 电子设备技术 > 电器电路基础 > > 详细内容

串联型稳压电源电路

 下图是一个可供实际应用的串联型稳压。其输出Usc=6~12伏连续可调,输出Isc=500毫安。各部分的电路工作原理已在前面各节作了分析,下面再就电路设计中的一些参数的选取问题,作些补充分析。  

部分

  调整管为了保征工作在放大区,需要有一定的管压降Uce,一般取:Uce=Usr-Usc=3~8伏。Uce选得大,可调整范围宽,适应性好,但调整管的功率损耗Uce Ie较大。根据上述原则可得:
Usr=Usc max+Uce 式中Uscmax为稳压输出电压的最大值,它由Usc的可调范围决定,可取:
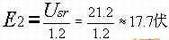
Usc max=(1+10%) Usc=1.1×12=13.2伏。则:Usr=13.2+(3~8)=16.2~21.2伏。

  的输出电流,包括电源的电流(已定为500毫安)、取样R1、W、R2的电流、限流R2的电流、保护电路偏置R4、R5的电流,所以整流输出电流要大于电源负载电流。现取550毫安。

  根据表5-3在滤波电路中带负载时的输出电压为由此可以得出次级电压为取E2=18伏

  整流承受的最大反向电压为二极管通过的是大电流为因此可这用2CP21A型整流管(50伏,额定整定电流300毫安)。

  根据表5-2,选取滤波C1为1000微法;根据电容耐压值为1.5×√2E2=27伏,可选耐压值为50伏。

  稳压电路部分,可分为取样和调压、基准电压、比较放大、调整放大、保护电路五个部分(见图5一27)。下面分别加以叙述:

  所选的基准电压Uw,应低于输出电压Usc最小值2伏,但不能太低。这里选取2Cw7B型稳压管,其稳定电压445伏,稳定电流10毫安,最大稳定电流45毫安。稳压管工作电流适当大些,其动态电阻就会更小。从图5?/P>27中可知,IwI3Ie3Ie3为比较放大管的发射极电流,在………………………

 

 


相关文章