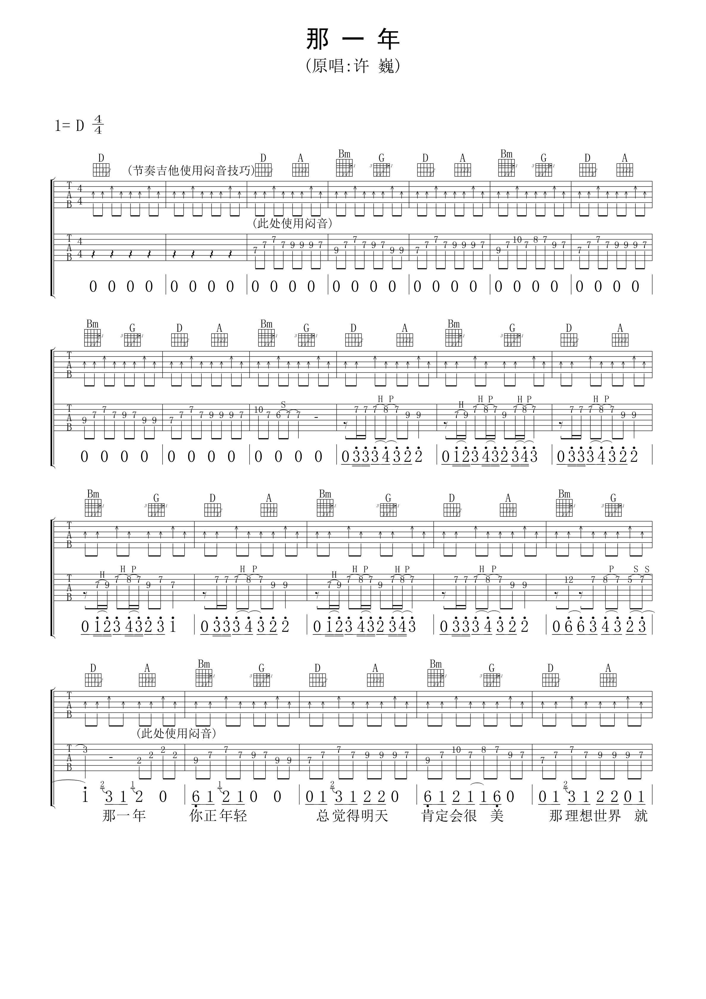
那一年吉他谱 许巍
那一年 曲目介绍
《那一年》是许巍作曲作词并演唱的歌曲,收录到同名专辑《那一年》中。
下面是专门为您整理好的:那一年吉他谱 许巍。希望您会满意。
那一年吉他谱 许巍




那一年 歌词
那一年 你正年轻
总觉得明天肯定会很美
那理想世界 就像一道光芒
在你心里闪耀着
怎能就让这不停燃烧的心
就这样耗尽消失在平庸里
你决定上路 就离开这城市
离开你深爱多年的姑娘
这么多年 你还在不停奔跑
眼看着明天依然虚无飘渺
在生存面前那纯洁的理想
原来是那么脆弱不堪
你站在这繁华的街上
找不到你该去的方向
你站在这繁华的街上
感觉到从来没有的慌张
你站在这繁华的街上
找不到你该去的方向
你站在这繁华的街上
感觉到从来没有的慌张
你曾拥有一些英雄的梦想
好像黑夜里面温暖的灯光
怎能没有了希望的力量
只能够挺身永往直前
你走在这繁华的街上
在寻找你该去的方向
你走在这繁华的街上
在寻找你曾拥有的力量