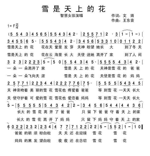
雪是天上的花简谱 智慧女孩
雪是天上的花 曲目介绍
雪是天上的花是歌手智慧女孩的演唱歌曲。
下面是为专门您整理好的:雪是天上的花简谱 智慧女孩。希望您会满意。
雪是天上的花简谱 智慧女孩

雪是天上的花 歌词
雪是天上的花,
花在天堂里发芽,
天神盼望着她长大,
到了冬天 一朵一朵离开了家。
雪是天上的花,
天神是雪花的爸爸,
天神亲吻着美丽的雪花,
雪花也疼爱着爸爸。
等到雪花一天天长大,
长大的雪花离开了爸爸,
只留下爸爸守着天上的家,
爸爸的胡须盼白啦,
天天还在迎接雪花 雪花!
雪是天上的花,
花在云海里长大,
天使送她离开了家,
到了人间 一朵一朵飞向天涯。
雪是天上的花,
天使是雪花的妈妈,
天使守护着可爱的雪花,
雪花也爱恋着妈妈。
等到雪花一天天长大,
长大的雪花离开了妈妈,
只留下妈妈守着天上的家,
妈妈的黑发望白啦,
夜夜还在念叨雪花 雪花!
- 上一篇:阿尔斯楞的眼睛简谱乌兰托娅
- 下一篇:等你在江南简谱 胡梅